
Заместителю начальника главного управления Национальной полиции в Днепропетровской области Юрию Небесскому объявили подозрение в злоупотреблении властью.
Государственное бюро расследований открыло уголовное дело на Небесского по заявлению главы профсоюза «Правозащитники Украины» Сергея Джихура. Об этом сообщают в Facebook-группе Police Control.
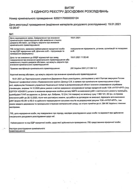
Из материалов уголовного дела следует, что замглаву полиции области подозревают в том, что он подписал акты выполненных работ ООО «Интер-Крит», которое ремонтировало административное здание Нацполиции в Днепре. Однако работы, по данным Джихура, были выполнены лишь на бумаге.
Таким образом, по данным следствия, бюджету нанесли ущерб почти на два миллиона гривен. Джихур считает, что Небесский поимел с этой махинации неправомерную выгоду. Более того, потом он собирал деньги на ремонт с личного состава, хотя из бюджета выделялись деньги.
Госбюро провело обыски в служебном кабинете и жилье Юрия Небесского. Если суд признает его вину, то полицейскому чиновнику грозит от пяти до восьми лет тюрьмы.
(Обновлено):
Полиция опровергает информацию об обысках в рабочем кабинете и по месту жительства заместителя начальника областной полиции.
С 19 января по обращению профсоюза "Правозахисники країни" территориальным управлением Государственного бюро расследований в г. Полтава начато досудебное расследование уголовного производства, открытого по ч. 2 ст. 364 (злоупотребление властью или служебным положением).
Однако, сообщение о подозрении по данному факту заместителю ГУНП в Днепропетровской области не вручалось и обыски не проводились.
![]() |
Gorod`ской дозор |
![]() |
Фоторепортажи и галереи |
![]() |
Видео |
![]() |
Интервью |
![]() |
Блоги |
| Новости компаний | |
| Сообщить новость! | |
![]() |
Погода |
| Архив новостей | |
про це на своїй сторінці у мережі ФБ Ответить | С цитатой